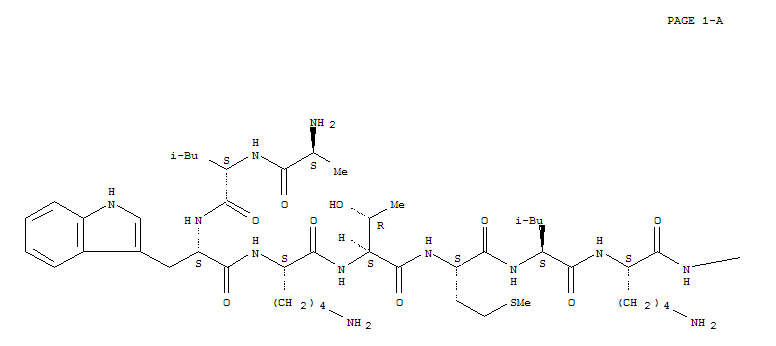
• CAS#136033-70-0
  • NameDermaseptin
  • For reserach use only and not for human use!

Product Details

MF: C152H257 N43 O44 S2

Cost-effective and customizable Dermaseptin 136033-70-0 in stock

  • Molecular Formula:C152H257 N43 O44 S2
  • Molecular Weight:3455.06
Inquiry
Product Name:
Company Name:
*Email:

Please enter your email

Tel:
*Content:

Please enter content

*Code:

Please enter content

The fields marked with*are required

Submit