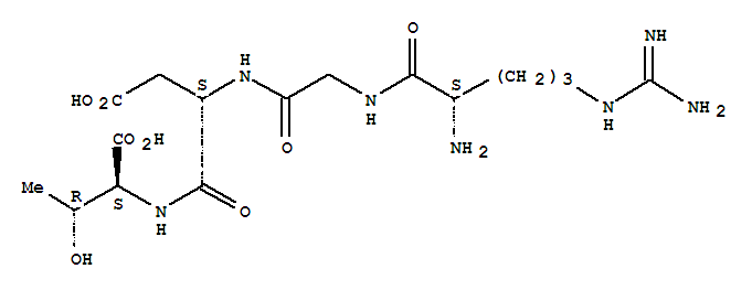
• CAS#93675-01-5
  • NameRGDT peptide
  • For reserach use only and not for human use!

Product Details

MF: C16H29 N7 O8

Cost-effective and customizable RGDT peptide 93675-01-5 for sale

  • Molecular Formula:C16H29 N7 O8
  • Molecular Weight:447.45
  • Boiling Point:°Cat760mmHg 
  • Flash Point:°C 
  • Density:1.61g/cm3 

poly (arginyl-glycyl-aspartyl-threonine)(Cas 93675-01-5) Usage

InChI:InChI=1/C16H29N7O8/c1-7(24)12(15(30)31)23-14(29)9(5-11(26)27)22-10(25)6-21-13(28)8(17)3-2-4-20-16(18)19/h7-9,12,24H,2-6,17H2,1H3,(H,21,28)(H,22,25)(H,23,29)(H,26,27)(H,30,31)(H4,18,19,20)/t7?,8-,9-,12+/m0/s1

Inquiry
Product Name:
Company Name:
*Email:

Please enter your email

Tel:
*Content:

Please enter content

*Code:

Please enter content

The fields marked with*are required

Submit