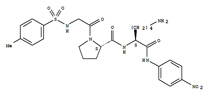
• CAS#73392-19-5
  • NameTos-Gly-Pro-Lys-pNA acetate salt
  • For reserach use only and not for human use!

Product Details

MF: C26H34 N6 O7 S

Buy high quality and low price Tos-Gly-Pro-Lys-pNA acetate salt 73392-19-5 now

  • Molecular Formula:C26H34 N6 O7 S
  • Molecular Weight:574.65
  • PKA:9.79±0.50(Predicted) 
  • PSA:204.90000 
  • Density:1.362±0.06 g/cm3(Predicted) 
  • LogP:4.52200 
Inquiry
Product Name:
Company Name:
*Email:

Please enter your email

Tel:
*Content:

Please enter content

*Code:

Please enter content

The fields marked with*are required

Submit