

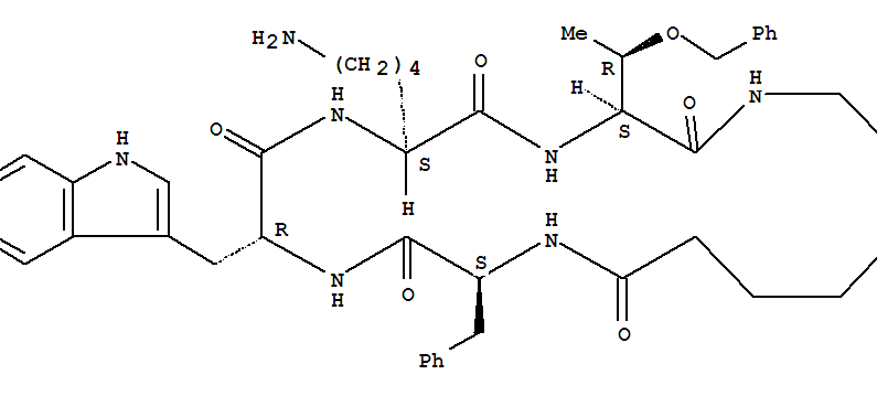
MF: C44H57 N7 O6
|
Biological Activity |
cyclosomatostatin is a non-selective somatostatin receptor antagonist.somatostatin is a regulatory hormone or tissue factor playing an inhibitory role in the normal regulation of several organ systems including hypothalamus and pituitary gland, central nervous system, gastrointestinal tract as well as pancreas. |
|
Biochem/physiol Actions |
Cyclo(7-aminoheptanoyl-Phe-D-Trp-Lys-Thr[Bzl]) (cSSTA) is a cyclic somatostatin (SST) analog and is a somatostatin receptor antagonist. It is involved in blocking the effect of somatostatin, such as airway β-adrenergic function and regulation of acetylcholine release. cSSTA is also involved in blocking the effect of somatostatin of hormone release and?corticotropin-releasing factor-induced suppression of gastric emptying. |
|
in vitro |
although cyclosomatostatin could fully block the effect of somatostatin, it only partially reversed the inhibitory effect of cortistatin, a new anti-inflammatory peptide. this observation was further supported by the fact that cyclosomatostatin reversed the antiinfl ammatory effect of somatostatin and octreotide in vitro completely, while only partially reversing the effect of cortistatin [1]. |
|
in vivo |
the effect of cortistatin was found to be dose dependent, with dose as low as 0.5 nmol (50 μg/kg) being partially protective. in contrast, cyclosomatostatin, somatostatin as well as octreotide were not protective [1]. |
|
references |
[1] gonzalez-rey e,chorny a,robledo g,delgado m. cortistatin, a new antiinflammatory peptide with therapeutic effect on lethal endotoxemia. j exp med.2006 mar 20;203(3):563-71. |
InChI:InChI=1/C44H57N7O6/c1-30(57-29-32-18-8-5-9-19-32)40-44(56)46-25-15-3-2-10-23-39(52)48-37(26-31-16-6-4-7-17-31)42(54)50-38(27-33-28-47-35-21-12-11-20-34(33)35)43(55)49-36(41(53)51-40)22-13-14-24-45/h4-9,11-12,16-21,28,30,36-38,40,47H,2-3,10,13-15,22-27,29,45H2,1H3,(H,46,56)(H,48,52)(H,49,55)(H,50,54)(H,51,53)/t30-,36+,37+,38-,40+/m1/s1